位错的生成和增值
01
位错密度
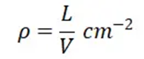
位错密度为单位体积内位错线的总长度,其数学表达式为:

L为位错线总长度,V为晶体的体积
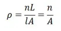
但由于无法测量实际晶体内位错线的总长度,近似用穿过单位面积晶面的位错条数来表示位错密度:

为每条位错线的长度,n为在面积A中所见到的位错数目
实验结果表明:
超纯金属单晶体的位错密度可低于103 cm-2
退火态金属的位错密度约为 106~108 cm-2
强烈塑性变形后的金属中位错密度约为 1010~1012 cm-2
02
位错的生成
晶体中的位错来源主要可有以下几种。
1). 晶体生长过程中产生位错。其主要来源有:
① 由于熔体中杂质原子在凝固过程中不均匀分布使晶体的先后凝固部分成分不同,从而点阵常数也有差异,可能形成位错作为过渡;
② 由于温度梯度、浓度梯度、机械振动等的影响,致使生长着的晶体偏转或弯曲引起相邻晶块之间有位相差,它们之间就会形成位错;
③ 晶体生长过程中由于相邻晶粒发生碰撞或因液流冲击,以及冷却时体积变化的热应力等原因会使晶体表面产生台阶或受力变形而形成位错。
2). 由于自高温较快凝固及冷却时晶体内存在大量过饱和空位,空位的聚集能形成位错。
3). 晶体内部的某些界面(如第二相质点、孪晶、晶界等)和微裂纹的附近,由于热应力和组织应力的作用,往往出现应力集中现象,当此应力高至足以使该局部区域发生滑移时,就在该区域产生位错。
03
位错的增值
晶体的塑性变形以滑移方式进行,当滑移量为一千个原子间距时才可能形成可见的滑移带;但单个位错运动,扫过滑移面时,则只形成一个原子间距的相对位移后即消失。
晶体的滑移不是固有位错的滑移造成的。因此,位错必然通过某种方式不断增殖!
(1)弗兰克-里德(Frank-Read, FR)位错源
若某滑移面有一段刃型位错AB,两端固定不能运动。在沿其垂直线方向外加应力使位错沿滑移面运动,由于两端固定,所以只能使位错线弯曲。
在应力作用下,先生成一小段弯曲的位错线,再生成相互抵消的左螺位错和右螺位错,然后形成一闭合的位错环和环内的一小段弯曲位错线。若持续施加应力,位错环会向外扩张,且位错环内的弯曲位错恢复直线,并产生新的位错环。周而复始,实现位错增殖。

F-R位错源增殖机制
F-R位错源增殖机制的动图演示

弗兰克-瑞德(F-R)源的产生:
刃型位错的攀移
位错交割后形成固定割阶
螺型位错交滑移
弗兰克-瑞德(F-R)源发生作用的条件:
外加切应力大于位错运动点阵摩擦力和障碍物阻力。
外加切应力τ与位错线曲率半径γ之间的关系为:τ=Gb/2r
即曲率半径越小,则需要的切应力越大。
当位错AB弯曲成半圆时,曲率半径最小,所需的切应力最大。
此时r=L/2,L为A与B之间的距离。
所以F-R源开动的临界切应力为:τc=Gb/L
(2)双交滑移增殖机制
螺型位错在双交滑移后,可形成不在原滑移面,且阻碍原位错线运动的刃型割阶,使原位错成为一个F-R源。
有时在第二个(111)面扩展出来的位错圈又可以通过交滑移转移到第三个(111)面上进行增殖,从而使位错迅速增加。因此,它是比上述的弗兰克-瑞德更有效的增殖机制

双交滑移增殖机制



